Borang 1 And 2 For Chambering

Approaching year end the firm i attached to is so damn busy with their works and obviously i was slightly being ignored and thus far i wasn t guided with proper guideline and examples on how to file in borang 1 2.
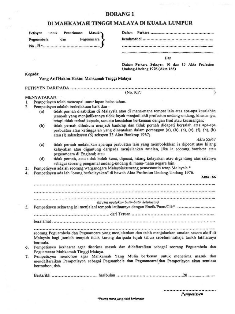
Borang 1 and 2 for chambering. Borang 1 petisyen dan afidavit borang 2 notis borang 3 saman dalam kamar borang 4 afidavit pemohon borang 5. Borang 1 is a petition for admission as an advocates and solicitors of high court of malaya. Upon obtaining the petition number fill out a copy of borang 1 and 2 with the petition number and serve the completed borang 1 including the exhibits and 2 on the three bodies as below. This is a guide on how to e file your chambering petition borang 1 2 and borang 3 4 5 for all states in malaysia except sabah sarawak.
Proses berkenaan borang 1 dan 2 ni sebenarnya belum selesai. Borang 2 please borang 1 2 ni jangan lupa sign. All enclosure shall be duly certified. Korang kena serve pulak borang ni.
Ramai sangat pupil lupa nak sign borang ni n saya pun xfaham kenapa kalu xsign korang akan kena buat notis permohonan n a lawyer must appear for case management tau utk repair kesalahan tu. So sekarang i will teach you on how to fill in your borang 1 and 2. Borang 1 isik betul2 n boleh tgok panduan dekat sini. Therefore again i m here to share my experience i ve been through from 8am to 5pm.
It is a bit tricky as the mahkamah tinggi rayuan kuasa kuasa khas are very particular on how you fill in this forms. Dont be too reckless ya with docs. First prepare dokumen2 ini. Chambering filing process tuesday 13 march 2012.
So entry kali ni adalah untuk ajar korang macam mana nak serve selepas serve kat semua tempat prepare afidavit penyampaian. Both borang 1 and 2 will have to enclose together 1 nric 2 clp cert 3 llb cert 4 birth cert 5 master profile. However i only file my borang 1 and 2 a week later fyi you can file the two forms immediately after you got a place in the firm. Be the first to review borang chambering 1 8 cancel reply.
Kita isi borang 1 dulu. Strata management case update free. Payment you need to make borang 1 page 2 to be affirmed by commissioner of oath rm4 scan rm50 filing fees rm192 remember to keep receipts if you wanna claim from your firm departments you need to go pemfailan department pembayaran department rkkk department. Reviews there are no reviews yet.
Chambering borang 1 2. Borang 2 is your first affidavit declaring the content of borang 1. If you are looking for the complete guide in filing your borang 6 7 8 long call procedure or transffering your long call to other states. On the 9th april i got a place in a firm as a pupil or most people called it chambering student or chambie for short.
After e filing borang 1 and 2 a petition number will be assigned by the system. Filling in borang 1 dan 2 salam and hye. Dear all please refer to malaysian bar for the latest updated filing system.