Borang Pengadilan Pertandingan Memasak





Borang Pemarkahan Pertandingan Memasak 1 Docx

Borang Pemarkahan Pertandingan Memasak 1 Docx

Borang Pemarkahan Pertandingan Memasak 1 Docx

Borang Pemarkahan Pertandingan Memasak 1 Docx

Borang Pemarkahan Pertandingan Memasak

Borang Pemarkahan Pertandingan Memasak

Doc Borang Pemarkahan Pertandingan Penyediaan Hidangan Sihat Unit

Doc Borang Pemarkahan Pertandingan Penyediaan Hidangan Sihat Unit

Borang Pemarkahan Pertandingan Memasak

Borang Pemarkahan Pertandingan Memasak

Borang Markah Chef Rimba Resep Ku Ini

Borang Markah Chef Rimba Resep Ku Ini

Borang Markah Chef Rimba Resep Ku Ini

Simpan simpan borang pemarkahan pertandingan penyediaan hidangan.

Borang pengadilan pertandingan memasak. Borang yang telah lengkap perlu di hantar kepada sn. Masterclass dan pertandingan memasak mini 24 ogos 2016. Halawati izwah hussin 03 8946 7345 di perkhidmatan kesihatan umum pusat kesihatan univesiti. Dalam pertandingan memasak ini hadiah keseluruhan yang ditawarkan berjumlah lebih rm35 000.

Pertandingan diadakan dari 18 julai hingga 9 oktober 2016 dan melibatkan 3 pusingan. 9 00 11 00 pagi. Borang penyertaan bagi pertandingan memasak ikan gift tilapia dan keli secara langsung. Penghantaran penyertaan 18 julai 14 ogos 2016.

Untuk menentukan penentuan tempat pertama kedua dan ketiga pengadilan akan dibuat berdasarkan 70 undian juri profesional. Jump to page. 0 0 mendukung tandai dokumen ini sebagai bermanfaat 0 0 menolak. Semua peserta kumpulan perlu menyediakan peralatan memasak seperti periuk sudu piring piring dan lain.

15 15 upvotes mark this document as useful 3 3 downvotes mark this document as not useful embed. Borang perlu di muat turun dan diisi dengan lengkap. Borang penyertaan boleh diperolehi di laman web pusat kesihatan universiti. Penyampaian hadiah kepada pemenang.

Dewan samudera kompleks pendidikan pulau tioman dianjurkan oleh. Manakalah 30 dari undian awam berdasarkan sistem star rating yang akan disediakan juri professional terdiri daripada editor komik dan pelukis komik profesional yang akan diberitahu kelak. 28 mac 2015 sabtu tempat. You are on page 1 of 2.

Panitia kemahiran hidup reka bentuk dan teknologi sk tekek kertas kerja pertandingan chef cilik anjuran panitia kh rbt pendahuluan pertandingan memasak dianjurkan bagi memahirkan murid dalam praktikal kehidupan kendiri. Pertandingan memasak ikan ini diadakan secara langsung di gerai karnival makanan laut dan hasil hasil. Search inside document. Pertandingan bermula diadili oleh pengadil profesional 11 00 pagi 12 00 tengahari.

Borang Pemarkahan Pertandingan Gubahan Tuala

Borang Pemarkahan Pertandingan Gubahan Tuala

Borang Pertandingan Gajet 2011

Borang Pertandingan Gajet 2011

Kriteria Pemarkahan Pertandingan Gubahan Bunga

Kriteria Pemarkahan Pertandingan Gubahan Bunga

Modul Karangan Band 1 Doc Doc Document

Modul Karangan Band 1 Doc Doc Document

Borang Penyertaan B Baling Doc

Borang Penyertaan B Baling Doc

Borang Pemarkahan Kawad Kaki

Borang Pemarkahan Kawad Kaki

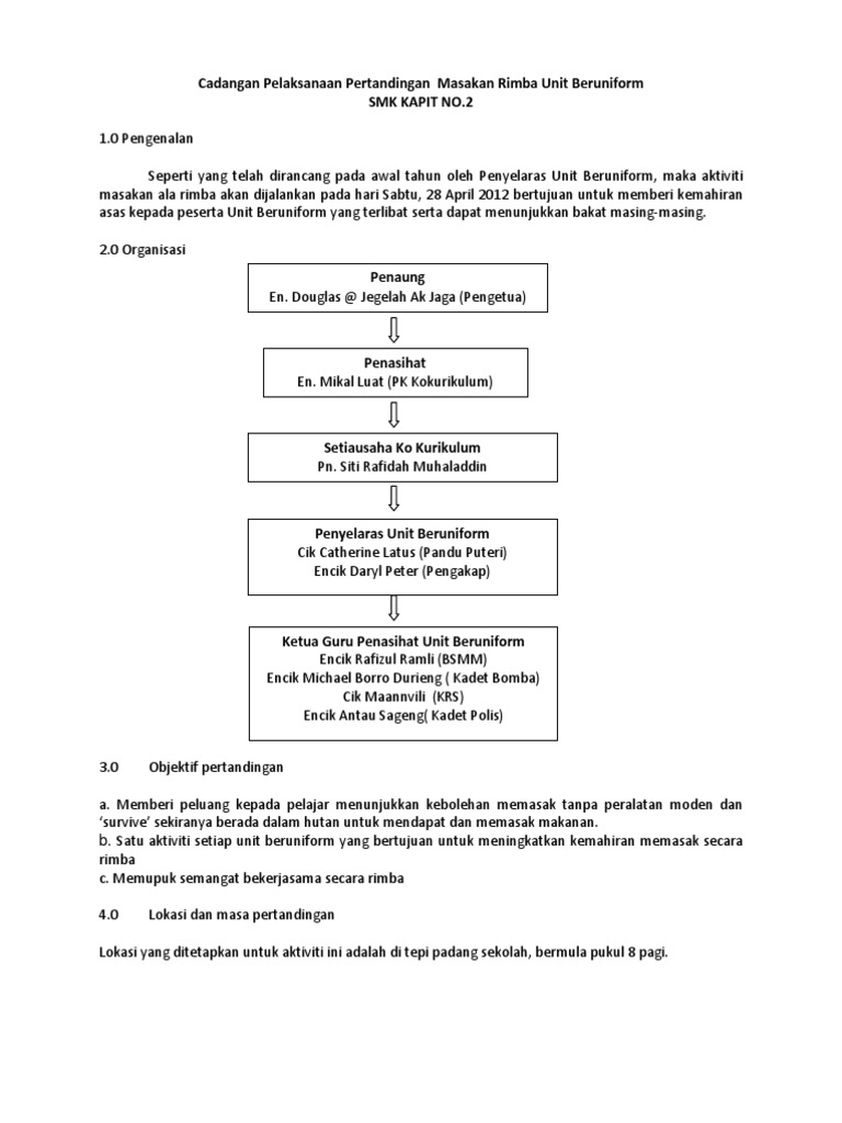
Proposal Pertandingan Masakan Rimba

Proposal Pertandingan Masakan Rimba

Kertas Kerja Pertandingan Memasak

Kertas Kerja Pertandingan Memasak

Borang Penyertaan Bagi Pertandingan Ww2 Sabah Gov My Mafi

Borang Penyertaan Bagi Pertandingan Ww2 Sabah Gov My Mafi

Borang Hakim Pertandingan Bi

Borang Hakim Pertandingan Bi

Contoh Kertas Kerja Pertandingan Futsal Rasmi L

Contoh Kertas Kerja Pertandingan Futsal Rasmi L

Borang Penyertaan Bagi Pertandingan Ww2 Sabah Gov My Mafi

Borang Penyertaan Bagi Pertandingan Ww2 Sabah Gov My Mafi

Contoh Kertas Kerja Pertandingan Futsal Rasmi L

Contoh Kertas Kerja Pertandingan Futsal Rasmi L

Borang Pertandingan Gajet 2011

Borang Pertandingan Gajet 2011

Source : pinterest.com