Borang Sinopsis Buku Ldp





Ladap Sinopsis Buku 2019 Doc

Ladap Sinopsis Buku 2019 Doc

Borang Sinopsis Buku

Borang Sinopsis Buku

Sinopsis Buku Ldp

Sinopsis Buku Ldp

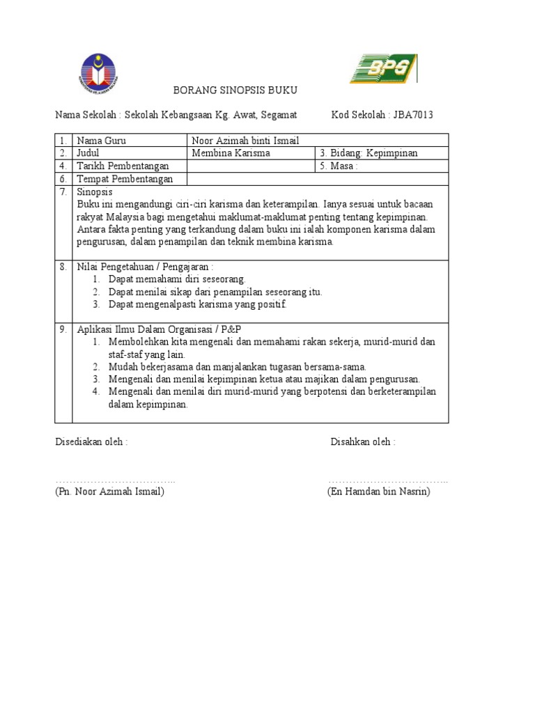
Doc Lampiran C Borang Sinopsis Buku Lizawati Masroni Academia Edu

Doc Lampiran C Borang Sinopsis Buku Lizawati Masroni Academia Edu

Sinopsis Buku 3 Kerja Bukan Kerana Pangkat

Sinopsis Buku 3 Kerja Bukan Kerana Pangkat

Contoh Sinopsis Buku Untuk Ladap

Contoh Sinopsis Buku Untuk Ladap

Contoh Sinopsis Buku Untuk Ladap

Share sinopsis buku ladap.

Borang sinopsis buku ldp. Anda di halaman 1 dari 1. You are on page 1 of 6. Melapor diri selepas menjalani ldp dalam luar negeri. Pengumpulan borang penulisan sinopsis buku.

Borang sinopsis buku latihan dalam perkhidmatan ldp nama sekolah 1 2. Smk sungai lembing 1. Teknik ingatan kaedah mengatasi lupa lemah ingatan. C c.

Dengan segala hormatnya surat daripada rektor institut pendidikan guru malaysia kementerian pendidikan malaysia dengan rujukan surat. Dr danial zainal abidin. Borang sinopsis kaedah pembacaan buku nama sekolah. We are always happy to assist you.

Borang sinopsis buku nama sekolah. 3 3 upvotes mark this document as useful 0 0 downvotes mark this document as not useful embed. Smk seri bahagia 28000 temerloh kod sekolah. Panduan mengisi borang setelah tamat kursus dalam dan luar negeri.

Search inside document. If you have any questions about copyright issues please report us to resolve them. Borang sinopsis buku splkpm. Lompat ke halaman.

Jump to page. Sinopsis buku ladap aku. Ringkasan eksekutif sinopsis. Sekolah kebangsaan palong 9 f kod sekolah.

Buku ini menceritakan tentang tip tip atau. Buku amat berguna kerana setiap guru dan perlu berhubung dengan manusia setiaop masa selagi kita hidup di alam fana ini. Klik untuk muat turun memo perhatian kepada semua warga kerja ipgk pm. Unit pengurusan latihan dalam perkhidmatan ldp bahagian keanggotaan dan pentadbiran latihan.

Kpm 100 13 6 5 jld 8 25 bertarikh 8 april 2019adalah dirujuk. All materials on our website are shared by users. 10 aplikasi ilmu dalam organisasi p p buku ini memberi kemahiran kepada para guru pentadbir sekolah menjadi pemimpin yang berkesan sama ada di dalam kelas atau dalam organisasi. Nor aini binti muda ilmiah 3.

Doc Borang Sinopsis Buku Doc Marshida Mahmud Academia Edu

Doc Borang Sinopsis Buku Doc Marshida Mahmud Academia Edu

Contoh Sinopsis Novel Tentang Pendidikan Kumpulan Contoh Makalah

Contoh Sinopsis Novel Tentang Pendidikan Kumpulan Contoh Makalah

2011 Borang Sinopsis Buku 3

2011 Borang Sinopsis Buku 3

Borang Sinopsis Buku

Borang Sinopsis Buku

Sinopsis Buku Ladap Doc

Sinopsis Buku Ladap Doc

Buku Ladap Ladap Sinopsis Buku 1

Buku Ladap Ladap Sinopsis Buku 1

Modifikasi Tingkah Laku Dalaman Sumpah D

Modifikasi Tingkah Laku Dalaman Sumpah D

Borang Sinopsis Buku4 Guru Pembimbing Murid

Borang Sinopsis Buku4 Guru Pembimbing Murid

Borang Sinopsis Buku Latihan Dalam Perkhidmatan Ldp

Borang Sinopsis Buku Latihan Dalam Perkhidmatan Ldp

Borang Sinopsis Buku

Borang Sinopsis Buku

Ladap Sinopsis Buku 1 Doc Google Drive

Ladap Sinopsis Buku 1 Doc Google Drive

Contoh Sinopsis Novel Destinasi Impian Kumpulan Contoh Makalah

Contoh Sinopsis Novel Destinasi Impian Kumpulan Contoh Makalah

Lampiran C Doc Document

Lampiran C Doc Document

Borang Sinopsis Buk1

Borang Sinopsis Buk1

Source : pinterest.com