Borang Pindah Rumah Dalam Stesen





Borang Tunt Perpindahan Rumah

Borang Tunt Perpindahan Rumah

Borang Lampiran A

Borang Lampiran A

Http Www Anm Gov My Images Download Senarai 20semak 20perakauanan Tnt Tnt 20perpindahan 20rumah 20dalam 20stesen 20yang 20sama Pdf

Http Www Anm Gov My Images Download Senarai 20semak 20perakauanan Tnt Tnt 20perpindahan 20rumah 20dalam 20stesen 20yang 20sama Pdf

Borang Pindah Rumah Pdf

Borang Pindah Rumah Pdf

Borang Lampiran A

Borang Lampiran A

Borang Perpindahan Rumah Doc

Borang Perpindahan Rumah Doc

Borang Perpindahan Rumah Doc

1 0 pastikan tuntutan perpindahan rumah dalam stesen yang sama diterima dan dokumen sokongan disertakan.

Borang pindah rumah dalam stesen. A perjalanan pasa tarikh tersebut adalah benar. Surat arahan pertukaran atau penempatan. C butir butir seperti yang dinyatakan di atas adalah benar dan saya bertanggung jawab terhadap. Berpindah rumah dari rumah sendiri rumah sewa rumah kerajaan ke rumah kerajaan atau rumah yang sewanya dibayar oleh kerajaan di dalam stesen atas arahan pihak berkuasa tertentu.

Tarikh pinjaman perumahan kerajaan diluluskan dua salinan surat kelulusan pinjaman. Jarak dari rumah lama ke pejabat dalam km. Senarai semak tuntutan perpindahan sppk dan kuarters. Kadar kadar dan syarat syarat tuntutan elaun kemudahan dan bayaran pertukaran atau perpindahan rumah mengikut mana yang.

1 1 borang tuntutan elaun perpindahan rumah. Tuntutan elaun elaun kerana perpindahan rumah. 1 september 2014 bil tajuk perkara rujukan b. Perpindahan rumah dalam stesen yang sama ketua jabatan pegawai pengawal ketua jabatan yang bererti pegawai pengawal satu satu kementerian atau jabatan bagi meluluskan tuntutan elaun elaun kerana perpindahan rumah.

Rumah dalam negeri luar stesen borang tuntutan elaun perpindahan rumah. Jarak dari rumah baru ke pejabat dalam km. Resit surat kelulusan bahagian pinjaman perumahan perbendaharaan malaysia. Ssp tnt p muka surat.

3 1 daripada perpindahan rumah dilakukan. 3 1 2 ap 58 a disertakan dan memenuhi syarat a terima semak. Perpindahan rumah perpindahan dalam perkhidmatan perpindahan barang sebelum selepas kursus panjang bersara pekeliling perbendaharaan bilangan 4 tahun 1995 dokumen yang diperlukan untuk diisi untuk kegunaan oleh pemohon jabatanpendaftar 1. Dan d dengan ini saya tidak akan membuat tuntutan yang sama.

B tuntutan ini dibuat mengikut kadar dan syarat seperti yang dinyatakan di bawah peraturan peraturan bagi pegawai bertukar yang berkuatkuasa semasa. 1 0 pastikan tuntutan perpindahan rumah dalam stesen yang sama diterima dan dokumen sokongan disertakan. Senarai semak tuntutan perpindahan dalam negeri luar stesen. 1 ogos 2014 tarikh kuatkuasa.

Kenyataan tuntutan perpindahan rumah dari rumah sendiri rumah sewa rumah kerajaan ke rumah universiti dan sebaliknya mengikut kadar dalam stesen created date. 1 tarikh ubahsuai. Tarikh perpindahan dari rumah lama ke rumah baru. Saya mengaku bahawa.

Alamat rumah baru. Alamat rumah lama. 1 2 surat arahan masuk keluar rumah kerajaan atau surat kelulusan skim pembiayaan perumahan kerajaan. Kemudahan bersabit dengan perpindahan rumah tersebut jika kemudahan makan perjalanan dan pengangkutan barang barang disediakan.

Jabatan Akauntan Negara Malaysia Prosedur Perpindahan Rumah Dalam

Jabatan Akauntan Negara Malaysia Prosedur Perpindahan Rumah Dalam

Tuntutan Kerana Bertukar Atau Berpindah Rumah Universiti

Tuntutan Kerana Bertukar Atau Berpindah Rumah Universiti

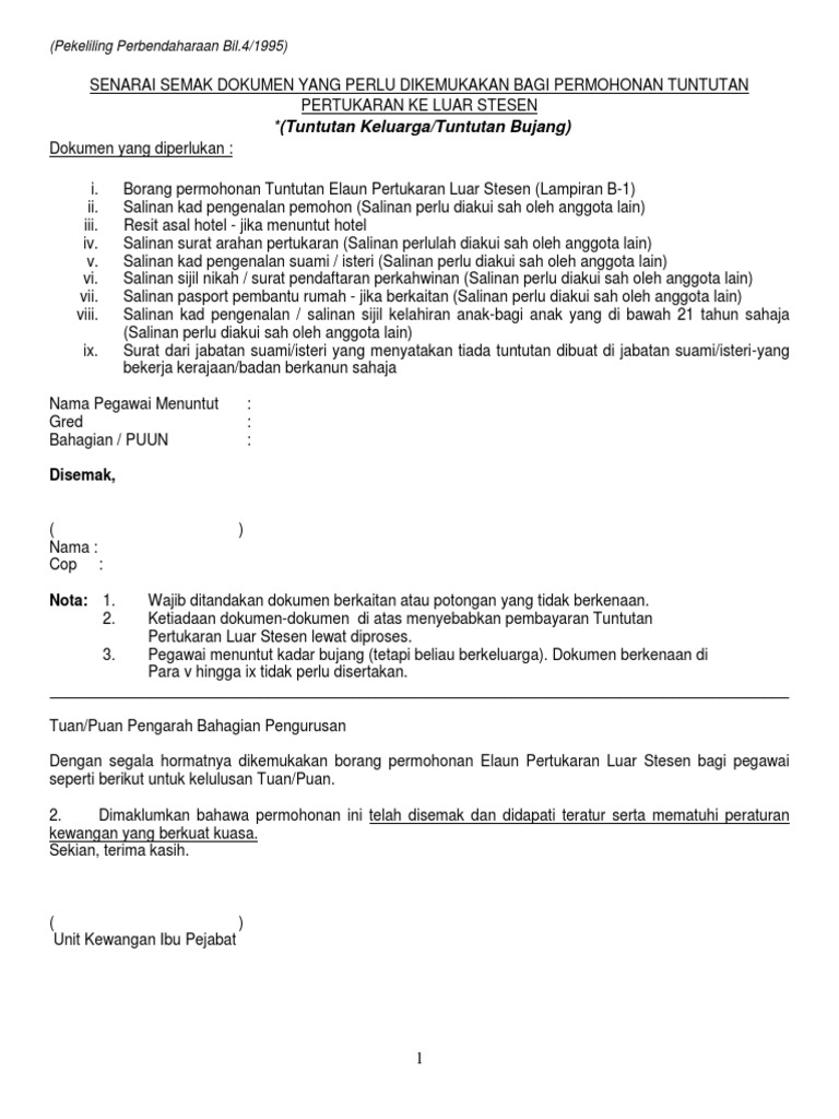
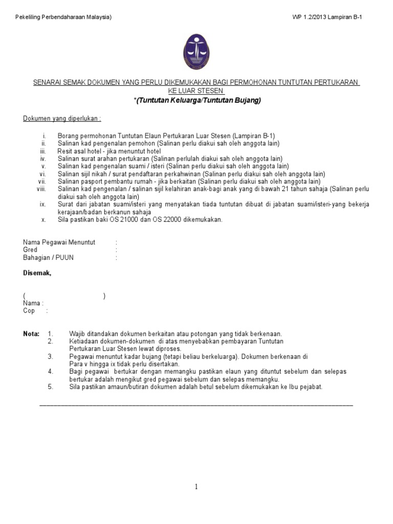
Borang Tuntutan Pertukaran Luar Stesen

Borang Tuntutan Pertukaran Luar Stesen

Jabatan Akauntan Negara Malaysia Prosedur Perpindahan Rumah Dalam

Jabatan Akauntan Negara Malaysia Prosedur Perpindahan Rumah Dalam

Pindah Rumah Ke Luar Stesen Pdf Document

Pindah Rumah Ke Luar Stesen Pdf Document

Bab E Pembayaran Am 15 Elaun Elaun Dalam Sabah

Bab E Pembayaran Am 15 Elaun Elaun Dalam Sabah

Borang Tunt Pertukaran Luar Stesen

Borang Tunt Pertukaran Luar Stesen

Kadar Elaun Pindah Rumah Mengikut Gred Situs Properti Indonesia

Kadar Elaun Pindah Rumah Mengikut Gred Situs Properti Indonesia

Pindah Rumah Ke Luar Stesen Pdf Document

Pindah Rumah Ke Luar Stesen Pdf Document

Borang Tuntutan Pertukaran Ke Luar Stesen

Borang Tuntutan Pertukaran Ke Luar Stesen

Surat Claim Pindah Cuitan Dokter

Surat Claim Pindah Cuitan Dokter

Surat Rasmi Permohonan Pindah Sekolah Surat Rasmi E

Surat Rasmi Permohonan Pindah Sekolah Surat Rasmi E

Surat Claim Pindah Cuitan Dokter

Surat Claim Pindah Cuitan Dokter

Pindah Rumah Kerajaan Keluar Kuartes

Pindah Rumah Kerajaan Keluar Kuartes

Source : pinterest.com